京东健康5月以来已回购754.67万股 耗资约3.18亿港元
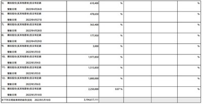
5月11日消息,京东健康于5月10日晚间发布公告称,以每股38.05-40.55港元的价格回购225万股股份,耗资约8827.11万港元。这是京东健康本月实施的第5次股份回购。
此前,京东健康分别于5月3日、4日、5日、6日发起股份回购,回购股份分别为3000股、197.785万股、151.585万股和180万股,涉及的金额分别为14.43万港元、8740.22万港元、6742.94万港元及7464.22万港元。至此,京东健康于5月份已累计回购754.67万股,总耗资约3.18亿港元。


今年3月28日,京东健康发布公告称,该公司董事会已批准于未来24个月期间,在公开市场回购最多价值30亿港元公司股份的计划。
京东健康称,董事会相信公司目前的财务资源将使其能够实施股份购回,同时维持稳健的财务状况。该公司将继续提供高质量的产品及服务,并相信这样的价值主张在当前市场条件下将更具竞争力。

公告显示,京东健康进行购回时,须根据股东周年大会通过的决议案授予或将授予董事会的购回授权行使其权力,以购回不超过已发行股份总数10%的公司股份。
此后,京东健康在2022年4月先后实施了8次股份回购,当月累计回购332.535万股。
根据公司财报披露,截至2021年12月31日止年度,京东健康的现金及现金等价物指现金和银行结余。截至2020年12月31日及2021年12月31日,京东健康现金及现金等价物分别为323亿元及173亿元。









